[掲示板に戻る]
レス送信モード
おなまえ
E-mail
題  名
コメント
添付File []
削除キー(削除用.英数字で8字以内)

画像ファイル名:1760451776132.jpg-(11217 B)
11217 B無念Nameとしあき25/10/14(火)23:22:56No.1358799233+ 12:45頃消えます
最低賃金スレ
1日更新はほとんどなく
月中旬から更新がそこそこ

中旬締め月末給料な小売りなどでは11月中旬始め
12月中旬締めからが更新月
このスレは古いので、もうすぐ消えます。
1無念Nameとしあき25/10/14(火)23:23:47No.1358799415そうだねx3
最近よくスレ立てるね
オバちゃんにごめんなさいのクンニはしたの?
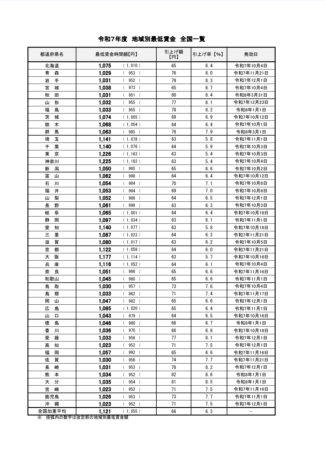
2無念Nameとしあき25/10/14(火)23:24:26No.1358799552+
    1760451866810.jpg-(414811 B)
414811 B
最低賃金一覧表
3無念Nameとしあき25/10/14(火)23:25:04No.1358799697+
沖縄とか崩壊するじゃないの?
4無念Nameとしあき25/10/14(火)23:26:21No.1358799977+
中旬始め終わりの月末払いだと人件費上昇1ヶ月は伸ばせるということか
5無念Nameとしあき25/10/14(火)23:28:12No.1358800356+
群馬と秋田の来年度3月って何
6無念Nameとしあき25/10/14(火)23:28:28No.1358800414そうだねx1
減税するとかもっと金を刷るとかしてくだち
7無念Nameとしあき25/10/14(火)23:30:07No.1358800793そうだねx1
最低賃金でも働いてるならえらい
ガンバレ
8無念Nameとしあき25/10/14(火)23:33:30No.1358801567+
1500円まであと…
9無念Nameとしあき25/10/14(火)23:34:34No.1358801788そうだねx1
そんなことよりできることあるんじゃねぇのか
10無念Nameとしあき25/10/14(火)23:34:43No.1358801816+
東京神奈川すげえな
最低がこうなら1350くらいが当たり前なのかこれ
11無念Nameとしあき25/10/14(火)23:36:02No.1358802102+
>東京神奈川すげえな
>最低がこうなら1350くらいが当たり前なのかこれ
コンビニの時給が1200円で驚いたのが10年以上前
12無念Nameとしあき25/10/14(火)23:37:47No.1358802479そうだねx7
>東京神奈川すげえな
>最低がこうなら1350くらいが当たり前なのかこれ
え?人が来るところは最低で働かせるけど…
13無念Nameとしあき25/10/14(火)23:41:30No.1358803226+
>1760451866810.jpg
>最低賃金一覧表
遂に47都道府県とも大台に乗ったか
14無念Nameとしあき25/10/14(火)23:53:31No.1358805644+
>1500円まであと…
6年くらいだな
15無念Nameとしあき25/10/14(火)23:54:55No.1358805942+
いつから1500円で止まると錯覚した?
16無念Nameとしあき25/10/14(火)23:57:50No.1358806478そうだねx2
なんで地域格差許してんの
17無念Nameとしあき25/10/15(水)00:04:44No.1358807770そうだねx4
>なんで地域格差許してんの
無茶言うな
18無念Nameとしあき25/10/15(水)00:04:45No.1358807775+
上げるのは避けられないから引き伸ばす戦法に出たのかと思ってしまう
19無念Nameとしあき25/10/15(水)00:23:34No.1358811197+
>なんで地域格差許してんの
同じにしたらみんな東京へ行っちゃうじゃん?
20無念Nameとしあき25/10/15(水)00:43:43No.1358814460+
市区町村で分けろ
21無念Nameとしあき25/10/15(水)01:39:09No.1358821362そうだねx1
上がった分だけ増税するんでしょ?
22無念Nameとしあき25/10/15(水)01:44:53No.1358821839そうだねx3
>>なんで地域格差許してんの
>同じにしたらみんな東京へ行っちゃうじゃん?
東京みたいに最低賃金+αにならない限り地方は人いなくなる一方だろうな
23無念Nameとしあき25/10/15(水)02:19:18No.1358824362そうだねx4
>同じにしたらみんな東京へ行っちゃうじゃん?
逆だろ
現状が東京から遠いほど低賃金という罰を受けてるんだし
24無念Nameとしあき25/10/15(水)02:24:40No.1358824714そうだねx1
鳥取なんて田舎でアルバイト雇ったら赤字になりそう
利益少ないけど人手のいる仕事は廃業せざるを得ないな
25無念Nameとしあき25/10/15(水)02:40:49No.1358825756+
だから田舎にはチェーンやコンビニがない
26無念Nameとしあき25/10/15(水)02:59:46No.1358826646+
売り上げが東京並にあるとこは東京並に出せるだろうが…
地代安いだけじゃな
27無念Nameとしあき25/10/15(水)03:17:31No.1358827247+
>>なんで地域格差許してんの
>同じにしたらみんな東京へ行っちゃうじゃん?
よくわからん理論だが
賃金同じなら地方の方が暮らしやすくないか
でも地方の企業は維持できなくて潰れるから
結局労働者は都市に集まるか
28無念Nameとしあき25/10/15(水)03:23:04No.1358827437そうだねx3
なんで経営者側でコメントするとしあき多いんだろ
人手不足倒産は普通にただの倒産ですよ
まともな人件費を払えないってことなんだから
29無念Nameとしあき25/10/15(水)03:23:49No.1358827457+
まあまだ上がるだろうしいま気にしても
30無念Nameとしあき25/10/15(水)03:24:46No.1358827488そうだねx2
>なんで経営者側でコメントするとしあき多いんだろ
>人手不足倒産は普通にただの倒産ですよ
>まともな人件費を払えないってことなんだから
黒字倒産だから勝ちとか言ってるやついたけど会社潰しといて勝ちってどういうことなんだろ
31無念Nameとしあき25/10/15(水)03:24:55No.1358827493+
>なんで地域格差許してんの
別に地域格差はいいんだけど米とかその他の農作物みたく
安く買いたたかれてるのが問題なんだよ
大都市部の人間が得をして農家や生産者が損をするような値段になってる
食の専門家はそういってる
32無念Nameとしあき25/10/15(水)03:26:11No.1358827541そうだねx4
>黒字倒産だから勝ちとか言ってるやついたけど会社潰しといて勝ちってどういうことなんだろ
正社員を雇わないでアルバイトを奴隷のようにコキ使って
自分の収入だけは高くして老後まで安泰の貯金があるからってことでしょ
33無念Nameとしあき25/10/15(水)03:26:27No.1358827553+
時給上げてもその分1時間も残業を減らせば良いわけだし
34無念Nameとしあき25/10/15(水)03:28:54No.1358827628+
>まともな人件費を払えないってことなんだから
よくあるのは人を雇って会社経営するよりもそのまま建物ごと土地を貸した方が儲かるパターンもある
こういう場合は計画的に倒産させた方が経営者はトータルで儲かるわけだ
35無念Nameとしあき25/10/15(水)04:14:26No.1358829087そうだねx1
言いにくいけどマルクスの生きてた頃のような金持ちにひたすら有利な時代が戻って来ただけかと…
連中が今必死なのは世の中のフラストレーションが自身の富に向かない様注意をそらす事
36無念Nameとしあき25/10/15(水)04:19:12No.1358829227+
最低賃金上がらない限り絶対給料上がらない
最低賃金に張り付いてるような会社も多いのかな
37無念Nameとしあき25/10/15(水)04:20:27No.1358829265+
つうかスレ画の深夜営業してるとこ深夜は1600〜1800円だぞ
38無念Nameとしあき25/10/15(水)04:24:29No.1358829376そうだねx1
>最低賃金上がらない限り絶対給料上がらない
>最低賃金に張り付いてるような会社も多いのかな
人手不足の解決は高待遇の提示か設備投資が正道
外国から安く奴隷を買って来る手もあるけど長期的には悪手
この悪手をこぞって取ろう取らせようとしてるのが日本企業と自民党
39無念Nameとしあき25/10/15(水)04:31:12No.1358829553+
>最低賃金に張り付いてるような会社も多いのかな
痴呆の中小企業なんて基本給は最低時給以下が多いでしょ
適当な手当て付けて時給換算で最低賃金超えるように帳尻合わせするかんじで
なので残業代は最低時給1.25倍より低くなる
40無念Nameとしあき25/10/15(水)04:49:05No.1358830056そうだねx2
>言いにくいけどマルクスの生きてた頃のような金持ちにひたすら有利な時代が戻って来ただけかと…
>連中が今必死なのは世の中のフラストレーションが自身の富に向かない様注意をそらす事
上下対立にならないように左右対立煽りまくってるよね
「ネトウヨ、パヨク」ってやってるけど本当に叩かなきゃいけないのは金持ち連中
41無念Nameとしあき25/10/15(水)04:50:57No.1358830105そうだねx3
島根あきだが…
この最低賃金のおかげでワンオペ体制めっちゃ増えたわ
42無念Nameとしあき25/10/15(水)04:52:44No.1358830148そうだねx1
埼玉のほうじゃ時給1200円程度でもやめられるぞ
時給100円違えばフルタイムだとかなり違うからな
しかも時給1400∼1500円も珍しくなくなってきた
43無念Nameとしあき25/10/15(水)04:54:49No.1358830200+
>つうかスレ画の深夜営業してるとこ深夜は1600〜1800円だぞ
外国人留学生の深夜アルバイトで1勤13000〜15000円くらいが相場なんだってな
44無念Nameとしあき25/10/15(水)04:57:08No.1358830244そうだねx3
>島根あきだが…
>この最低賃金のおかげでワンオペ体制めっちゃ増えたわ
前からそうだと思ってた...
45無念Nameとしあき25/10/15(水)04:58:21No.1358830271そうだねx4
>島根あきだが…
>この最低賃金のおかげでワンオペ体制めっちゃ増えたわ
そんなところ辞めてしまえ
賃金と労働力を交換してるんだから
最低賃金プラス100〜200円ていどで大変な仕事なんてやるほうがおかしい
賃金が安いなら提供する労働力も最低じゃないと
これが経団連のいうグローバルな価値観です
46無念Nameとしあき25/10/15(水)05:01:41No.1358830363+
低賃金でいいから楽したいが無理な時代に…
47無念Nameとしあき25/10/15(水)05:43:45No.1358831352+
>埼玉のほうじゃ時給1200円程度でもやめられるぞ
>時給100円違えばフルタイムだとかなり違うからな
>しかも時給1400∼1500円も珍しくなくなってきた
愛知だけど似たような感じだ
1350円で応募が来なくなってきた
来ても60過ぎの爺さんでフルタイム働く気ゼロとかそんなん
48無念Nameとしあき25/10/15(水)07:17:54No.1358835075+
>鳥取なんて田舎でアルバイト雇ったら赤字になりそう
>利益少ないけど人手のいる仕事は廃業せざるを得ないな
値上げすると言う選択肢
需用があるなら値上げしても大丈夫でしょ?いま食料品ってそんな感じだし
49無念Nameとしあき25/10/15(水)07:21:07No.1358835306そうだねx1
    1760480467561.jpg-(72881 B)
72881 B
大理石でできた金持ちそうな家
50無念Nameとしあき25/10/15(水)07:22:55No.1358835444そうだねx1
経営者の事はなんも考えてないからワンオペ増えるわな
最低賃金で激務という地獄が始まる
51無念Nameとしあき25/10/15(水)08:21:45No.1358840257そうだねx1
最低賃金じゃ8時間働いても日給1万いかねえじゃん
52無念Nameとしあき25/10/15(水)08:27:41No.1358840826+
正社員で雇えば20万円で使い放題だから
53無念Nameとしあき25/10/15(水)08:28:57No.1358840957+
でも正社員はボーナスがあるし…
いや無くせばいいか
54無念Nameとしあき25/10/15(水)08:38:06No.1358841772そうだねx3
>なんで経営者側でコメントするとしあき多いんだろ
>人手不足倒産は普通にただの倒産ですよ
>まともな人件費を払えないってことなんだから
ただの逆張りレスバ希望マンだと思うよ
そいつらだいたい二言目には無職がーとか乞食がーとか言うし
55無念Nameとしあき25/10/15(水)08:38:35No.1358841822そうだねx1
スレでもパワハラするやついるもんなあ
56無念Nameとしあき25/10/15(水)08:42:29No.1358842186そうだねx2
扶養控除や社会保険のことがあるから既存パートが労働時間減らしてますます人手不足に
57無念Nameとしあき25/10/15(水)08:48:56No.1358842855+
>>島根あきだが…
>>この最低賃金のおかげでワンオペ体制めっちゃ増えたわ
>そんなところ辞めてしまえ
>賃金と労働力を交換してるんだから
結局維持できないなら本数を減らすか商品を値上げするしかないんだよな
価値あるものを売ってるなら客は離れないだろうが…
物価と生産性が見合ってない日本の今の構造にも問題はあると思うけど
58無念Nameとしあき25/10/15(水)11:06:42No.1358860208+
パートの時給は上がったが、その分休みを増やした
パートの給料はトントンorマイナスになった
59無念Nameとしあき25/10/15(水)12:00:26No.1358869115+
>>東京神奈川すげえな
>>最低がこうなら1350くらいが当たり前なのかこれ
>え?人が来るところは最低で働かせるけど…
人が来なくても割と最低賃金のママ募集してるよね
酷いところだと2,3年前の最低賃金のママ募集の張り紙がずっと張り付けられてる
60無念Nameとしあき25/10/15(水)12:04:54No.1358870088+
昭和は深夜残業休日出勤当たり前でがむしゃらに会社に尽くしてたけど今の労働ボリューム層の20〜40代は定時で上がってプライベート満喫することしか考えてない
そりゃ衰退するよ日本は
61無念Nameとしあき25/10/15(水)12:18:17No.1358872800+
最低賃金上がるって喜ぶのは学生バイト位でその中全体は貧乏ラインが上がるだけだよね
62無念Nameとしあき25/10/15(水)12:20:07No.1358873185+
>昭和は深夜残業休日出勤当たり前でがむしゃらに会社に尽くしてたけど今の労働ボリューム層の20〜40代は定時で上がってプライベート満喫することしか考えてない
>そりゃ衰退するよ日本は
いや…国が労働時間しぼってきてるんすよ

- GazouBBS + futaba-